Epreuve Mathématiques
PARTIE A : EVALUATIONS DES RESSOURCES
EXERCICE 1 :
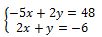
1.
Résoudre
dans
le
système (S) :
2. En déduire la solution du système
(S’) :
3. a. Résoudre dans le système (S) :
b.
En déduire dans
les solutions du système suivant :
(S’) :
EXERCICE 2 :
Un sac contient 3 jetons rouges, 4 jetons verts et 5 jetons blancs tous indiscernables au toucher. On tire au hasard et simultanément trois jetons du sac. Déterminer la probabilité des évènements suivant :
1. A : « obtenir trois jetons de même couleur ».
2. B : « obtenir au moins deux jetons verts ».
3. C : « obtenir des jetons de couleur différentes ».
EXERCICE 3 :
On considère
la fonction numérique
d’une variable réelle
définie par :
est sa
courbe représentative dans le plan rapporté à un repère orthonormé
- a) Déterminer l’ensemble de définition
Df de la fonction f.
b) Déterminer trois
réels a, b et c tels que pour tout réel x∈Df ; on a:
c) Calculer les limites de f aux bornes de son domaine de définition.
d) Déterminer les équations cartésiennes respectives des deux asymptotes à la courbe Cf
2. Etudier les variations de f et dresser son tableau de variations.
3.a) Déterminer les coordonnées du point d’intersection A de la courbe Cf et l’axe des ordonnées.
b) Ecrire une équation cartésienne de la tangente(T)à la courbe Cf au point A.
c) Tracer dans le même repère la droite (T )et la courbe Cf.
4. Soit Fl la primitive de f sur]−2;+∞ [qui prend la valeur 0 en x0=−1.Déterminer la fonction F.
PARTIE B : EVALUATIONS DES COMPETENCES
En 2017, M. Mbella obtient de son papa un terrain de
forme rectangulaire de superficie 475 m². Il ne se souvient plus de la longueur
des côtés, mais se rappelle qu’il lui a fallu acheter 88m de fil barbelé pour
entourer tout son espace. En attendant de se construire une maison, il s’est
lancé dans l’agriculture et pour cela recrute de la main d’œuvre. Pour négocier
la paie de chacun employé, il se donne la fonction f suivante
ou
est exprimé en
milliers de FCFA représentative le salaire d’un employé et
est un nombre compris entre 0 et 5.
Son fils a relevé pendant 6 années sa production, exprimé en tonne (yi) dans le tableau ci-dessous

Taches :
1. déterminer les dimensions du terrain de M. Mbella
2. déterminer le salaire maximal d’un employé chez M. Mbella
3. donner en justifiant votre réponse la réponse de l’expert de M. Mbella
Document des cours de répétitions Le GRESGET et des cours du soir Sainte Bernadette du GRESGET
Contactez la Ligue Associative Africaine et le parti politique LIMARA pour la correction
Lien de notre groupe whatsapp des formations en ligne : https://chat.whatsapp.com/DglNIhlxIhWFIw9ApC7DB9


