Facebook
Youtube
Twitter
Linkedin
Pinterest
Whatsapp
Contact
Connexion
Ligue Associative Africaine
Ensemble réalisons la Fusion Africain
Appelez nous
+237 696 36 65 02
Ecrivez nous
contact@ligueaa.org
Accueil
Qui sommes-nous?
Statut
Historique
Nos activités
Objectifs
Domaines d'intervention
Localisation
Partenaires
Nos projets
Actualité
Boutique
Publications
Education
Education Conventionnelle
Etudes Panafricaines
Répétitions
Tarifs
Formations en ligne
Tests & Examens
Dossier
Rapports
Résumés d'ouvrages
Audios
Vidéos
Les pensées d'Afrique
Prendre part
Devenir membre
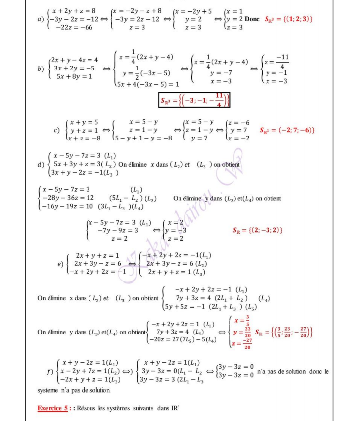
Systèmes de trois équations linéaires à trois inconnus
25/12/2024
Cours Mathématiques 1ère C
Groupe le scorpion
Commentaires (0)
Laisser un commentaire
Publier
Aucun commentaire pour le moment. Soyez le premier à commenter !
Articles recents
Le Zimbabwe refuse un accord sanitaire “déséquilibré” : vers une souveraineté africaine de la santé
26/02/2026
Soudan : la guerre des drones ou la guerre du pétrole ?
26/02/2026
Présidentielle 2026 au Bénin : Talon, partir pour mieux rester ?
26/02/2026
Anicet Ekane : la mort naturelle ?
25/02/2026
AES : Héritage, stratégie et devoir révolutionnaire
24/02/2026
Investissez
dans nos entreprises
et
augmentez vos revenus
Nom*
Prenom
Email
Téléphone
Montant (en dollard USD)*
Commentaires (0)
Laisser un commentaire