• Facebook
  • Youtube
  • Twitter
  • Linkedin
  • Pinterest
  • Whatsapp
  • Contact
  • Connexion
LAA Logo Ligue Associative Africaine
Ensemble réalisons la Fusion Africain
LAA Logo
  • Appelez nous +237 696 36 65 02
  • Ecrivez nous contact@ligueaa.org
  • Accueil
  • Qui sommes-nous?
    • Statut
    • Historique
    • Nos activités
    • Objectifs
    • Domaines d'intervention
    • Localisation
    • Partenaires
  • Nos projets
  • Actualité
  • Boutique
  • Publications
  • Education
    • Education Conventionnelle
    • Etudes Panafricaines
    • Répétitions
    • Tarifs
    • Formations en ligne
    • Tests & Examens
  • Dossier
    • Rapports
    • Résumés d'ouvrages
    • Audios
    • Vidéos
    • Les pensées d'Afrique
  • Prendre part
    • Devenir membre

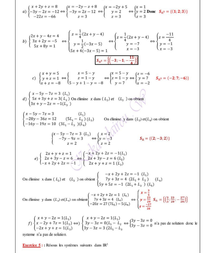
Systèmes de trois équations linéaires à trois inconnus

  • 25/12/2024
  • Cours Mathématiques 1ère C
  • Groupe le scorpion
Blog Single


  • Articles recents
Image

Du front ukrainien au Groenland : la continuité stratégique de l’impérialisme étasunien contre la Russie

  • 12/01/2026
Image

L’impérialisme étasunien sans limites : du Venezuela au Groenland, l’hégémonie en crise

  • 12/01/2026
Image

La lutte pour le pétrole vénézuélien : un nouvel acte de l’impérialisme américain

  • 12/01/2026
Image

Après la tempête de l’arrestation, le bal diplomatique : qui perdra la main ?

  • 11/01/2026
Image

Quel panafricanisme aujourd’hui ? Bilan de 12 ans d’existence de la Ligue Associative Africaine

  • 10/01/2026
Image

Ensemble réalisons la Fusion Africain

Siège: Douala, Cameroun
Téléphone: +237 696 36 65 02
Email: contact@ligueaa.org

Accès rapide

  • Accueil
  • Qui sommes-nous?
  • Boutique
  • Projets
  • Publications
  • Contact
  • Actualité
  • Blog

Posts Récents

Du front ukrainien au Groenland : la continuité stratégique de l’impérialisme étasunien contre la Russie

  • 12, January, 2026

L’impérialisme étasunien sans limites : du Venezuela au Groenland, l’hégémonie en crise

  • 12, January, 2026

La lutte pour le pétrole vénézuélien : un nouvel acte de l’impérialisme américain

  • 12, January, 2026
Utilisateurs
Visites aujourd'hui
Visiteurs au total
Souscrivez à notre newsletter, et soyez les premiers au courant notre actualité:
Suivez-nous
Ecrivez-nous
Copyrights Ligue Associative Africaine © 2026 Tous droits reservés.
Investissez dans nos entreprises
et augmentez vos revenus