Facebook
Youtube
Twitter
Linkedin
Pinterest
Whatsapp
Contact
Connexion
Ligue Associative Africaine
Ensemble réalisons la Fusion Africain
Appelez nous
+237 696 36 65 02
Ecrivez nous
contact@ligueaa.org
Accueil
Qui sommes-nous?
Statut
Historique
Nos activités
Objectifs
Domaines d'intervention
Localisation
Partenaires
Nos projets
Actualité
Boutique
Publications
Education
Education Conventionnelle
Etudes Panafricaines
Répétitions
Tarifs
Formations en ligne
Tests & Examens
Dossier
Rapports
Résumés d'ouvrages
Audios
Vidéos
Les pensées d'Afrique
Prendre part
Devenir membre
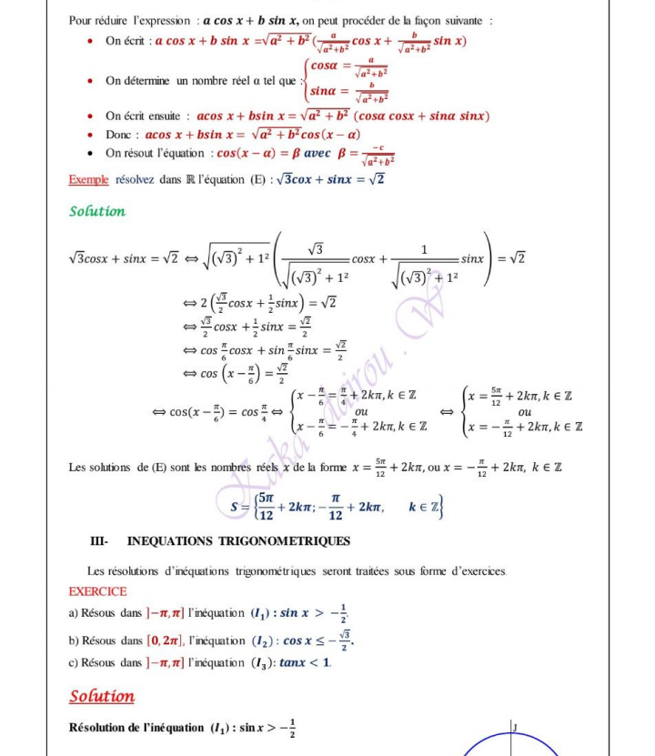
Trigonométrie
31/12/2024
Cours Mathématiques 1ère D
Groupe le scorpion
Commentaires (0)
Laisser un commentaire
Publier
Aucun commentaire pour le moment. Soyez le premier à commenter !
Articles recents
Inde : le savoir comme instrument de puissance dans la bataille mondiale de l’IA
18/02/2026
Pékin–Ottawa : quand les intérêts matériels dictent la diplomatie
18/02/2026
Madagascar : le cyclone Gezani laisse un pays meurtri
18/02/2026
La France face à ses démons coloniaux : l’heure des comptes a-t-elle sonné ?
17/02/2026
Nigeria : coopération militaire ou nouvelle étape d’ingérence stratégique ?
17/02/2026
Investissez
dans nos entreprises
et
augmentez vos revenus
Nom*
Prenom
Email
Téléphone
Montant (en dollard USD)*
Commentaires (0)
Laisser un commentaire