• Facebook
  • Youtube
  • Twitter
  • Linkedin
  • Pinterest
  • Whatsapp
  • Contact
  • Connexion
LAA Logo Ligue Associative Africaine
Ensemble réalisons la Fusion Africain
LAA Logo
  • Appelez nous +237 696 36 65 02
  • Ecrivez nous contact@ligueaa.org
  • Accueil
  • Qui sommes-nous?
    • Statut
    • Historique
    • Nos activités
    • Objectifs
    • Domaines d'intervention
    • Localisation
    • Partenaires
  • Nos projets
  • Actualité
  • Boutique
  • Publications
  • Education
    • Education Conventionnelle
    • Etudes Panafricaines
    • Répétitions
    • Tarifs
    • Formations en ligne
    • Tests & Examens
  • Dossier
    • Rapports
    • Résumés d'ouvrages
    • Audios
    • Vidéos
    • Les pensées d'Afrique
  • Prendre part
    • Devenir membre

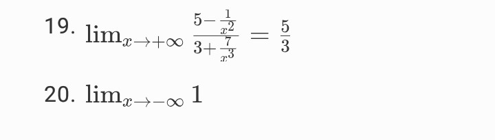
Limites d'une fonction

  • 13/02/2025
  • Cours Mathématiques 1ère A4
  • Yemele Fometio
Blog Single

  • Articles recents
Image

Remaniement ministériel : une diversion de plus dans la longue agonie du régime Biya

  • 05/01/2026
Image

Venezuela : l’impérialisme américain humilié par l’Histoire

  • 05/01/2026
Image

La chute de Maduro : l’AES comme prochaine cible

  • 04/01/2026
Image

Le scandale Hitler : quand la violence impérialiste s’est retournée contre l’Europe

  • 04/01/2026
Image

L’indifférence : forme moderne du suicide collectif

  • 03/01/2026
Image

Ensemble réalisons la Fusion Africain

Siège: Douala, Cameroun
Téléphone: +237 696 36 65 02
Email: contact@ligueaa.org

Accès rapide

  • Accueil
  • Qui sommes-nous?
  • Boutique
  • Projets
  • Publications
  • Contact
  • Actualité
  • Blog

Posts Récents

Remaniement ministériel : une diversion de plus dans la longue agonie du régime Biya

  • 05, January, 2026

Venezuela : l’impérialisme américain humilié par l’Histoire

  • 05, January, 2026

La chute de Maduro : l’AES comme prochaine cible

  • 04, January, 2026
Utilisateurs
Visites aujourd'hui
Visiteurs au total
Souscrivez à notre newsletter, et soyez les premiers au courant notre actualité:
Suivez-nous
Ecrivez-nous
Copyrights Ligue Associative Africaine © 2026 Tous droits reservés.
Investissez dans nos entreprises
et augmentez vos revenus